4th Einstein Telescope Annual Meeting
Leuven Gravity Institute Stadius Utrecht University NIKHEF

Bayesian Calibration of Gravitational-Wave Detectors Using Null Streams Without Waveform Assumptions
2510.06327

Isaac C. F. Wong
2025-11-12

QR Code for arXiv paper

Motivation and ET Context

  • GW detections transform astrophysics, but calibration errors limit precision (e.g., LIGO: ~10% amplitude, ~3° phase at 100 Hz)
  • ET Challenge: 10x sensitivity demands $\lesssim 1\%$ calibration for, e.g., signal detection, parameter estimation (Essick 2022), Hubble constant measurements (Huang et al. 2025), black hole spectroscopy (Sinha et al. 2025)
  • This Work: Sky-independent null streams enable non-invasive, waveform/GR-independent calibration using all GW signals
Pürrer et al. 2019

Current LVK Calibration: Strain Reconstruction

  • Photon Calibration: Primary absolute calibration method in LVK detectors
  • Principle: Inject known changes in laser power ($\Delta P$) into the interferometer arms
  • Measurement: Measure the corresponding change in interferometer output ($\Delta d$)
  • Calibration Factor: $C(f) = \frac{\Delta d(f)}{\Delta P(f)}$ relates power to strain via radiation pressure
  • Absolute Reference: Provides direct connection between measured signal and gravitational strain $h(t)$
  • Frequency Range: Valid across the full detection band (10 Hz - few kHz)
LVK Calibration Schematic
Sun et al. 2020

Current LVK Calibration: Strain Reconstruction

LVK Calibration Error Plot
Calibration error of LIGO Hanford in O3b (Sun et al. 2021)

Background: Null Streams in Triangular Detectors

  • ET Geometry: 3 co-located 10-km arms underground; long-wavelength approx. enables sky-independent null streams
  • Prior Self-Calibration: Sagnac nulls require templates/GR (e.g., Schutz et al. 2020); EM-counterpart and GR dependent (Pitkin et al. 2016)
  • Gap: No method uses arbitrary GWs for calibration without assumptions
  • Assumption: Focus on relative errors (absolute via instrumental priors); 8-512 Hz band
E-TEST Prototype

Methods Overview

  • Approach: Bayesian inference on null stream data
  • Key: Projection matrix $P_\mathrm{null}$ that cancels GW $h$
  • Parameters $\theta$: Cubic splines for amp/phase errors (10 knots); priors from LIGO (~10% amp, 3° phase)
  • Likelihood: Time-freq Gaussian on wavelet transform of null stream (ortho. wavelets for stationarity)
$d_\mathrm{null} = P_\mathrm{null}(C(f)\tilde{h}(f) + \tilde{n}(f))$
$\begin{aligned}&P_\mathrm{null}(f; \theta) \\ &= I - W(f) (W^{\dagger}(f)W(f))^{-1}W^{\dagger}(f) \end{aligned}$
$W(f) = S_n^{-1/2}(f) C(f;\theta) F$

Methods Overview

  • Approach: Bayesian inference on null stream data
  • Key: Projection matrix $P_\mathrm{null}$ that cancels GW $h$
  • Parameters $\theta$: Cubic splines for amp/phase errors (10 knots); priors from LIGO (~10% amp, 3° phase)
  • Likelihood: Time-freq Gaussian on wavelet transform of null stream (ortho. wavelets for stationarity)
Credit: Peter T. H. Pang

Implementation and Simulation Setup

  • Tools: nullcal package; Bilby for inference, dynesty sampler ($10^3$ live points)
  • Injections: BBH ($m_{1}=35.6 M_{\odot}$, $m_{2}=30.6 M_{\odot}$, SNR 20-300); ET-D noise PSD; multi-signal overlaps
  • Metric: Generalized std. dev. (GSD) defined as $\bar{\sigma} = \det(\boldsymbol{\Sigma}_{\theta})^{1/2N}$ ratio (posterior/prior) for constraint tightness
  • Validation: Recovers injected errors within 90% credible intervals
Data Wavelet TF Likelihood Posterior on θ
Inference Flowchart

Results: SNR Dependence

  • Finding: Calibration constraints tighten linearly with network SNR (20-300)
  • Null Stream SNR: ~10% of network SNR; drives precision (e.g., 17.6% improvement at high SNR)
  • Implication: Bright events (e.g., nearby BBH) yield immediate calibration gains for ET
SNR Dependence Plot
FIG. 1 in Wong et al. 2025

Results: Multi-Signal Degeneracy Breaking

  • Single Signal: Polarization degeneracy limits (GSD ratio ~0.82 at SNR=26)
  • Multiple Overlaps: Ratio drops to 0.65 (3 signals); posteriors converge to truth
Multi-Signal Dependence Plot
FIG. 2 in Wong et al. 2025

Results: Multi-Signal Degeneracy Breaking

  • Example: 32 Hz posteriors for rel. amp/phase ($1 + \delta A_{j}$, $\delta \varphi_{j}$) tighten with number of signals
  • ET Relevance: Dense signal environment naturally breaks degeneracy
Multi-Signal Dependence Plot
FIG. 3 in Wong et al. 2025

Results: Multi-Signal Degeneracy Breaking

  • Example: 32 Hz posteriors for rel. amp/phase ($1 + \delta A_{j}$, $\delta \varphi_{j}$) tighten with number of signals
  • ET Relevance: Dense signal environment naturally breaks degeneracy
Multi-Signal Dependence Plot
FIG. 3 in Wong et al. 2025

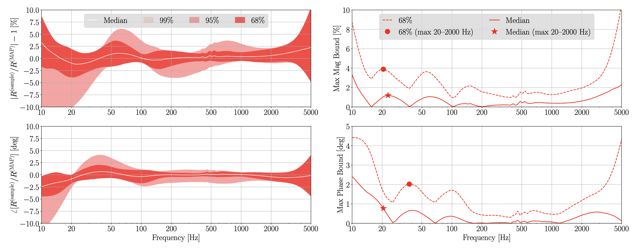
Results: The Three-Signal Case with SNR 300

Three-Signal High SNR Plot
FIG. S2 in Wong et al. 2025

Results: The Three-Signal Case with SNR 300

Three-Signal High SNR Plot
FIG. S2 in Wong et al. 2025

Discussion: Degeneracies and ET Integration

  • Degeneracies: Common-mode absolute error (fix w/ lab priors); polarization (broken by multi-events)
  • Limitations: Long-wavelength approx. (valid $\lesssim 1000$ Hz for ET); assumes Gaussian noise
  • ET Synergies: Complements in-situ methods; test in ET Mock Data Challenges
  • Broader: LISA (space nulls). Long-wavelength approx. valid $\lesssim 1$ mHz
The Space Project LISA

Conclusions and Outlook

  • Summary: GR/waveform-independent Bayesian null-stream calibration; 17.6% precision gain in ET sims
  • Key Advance: Uses all GWs (incl. backgrounds) for non-invasive error constraints
  • Next: Apply to ET MDC; Implication on science goals

Thank You!

Questions?